Deze paragraaf geeft inzicht in de interdepartementale beleidsonderzoeken (IBO’s) die zijn gestart sinds de vorige Miljoenennota. In de zomer van 2012 zijn zes IBO’s van start gegaan. Deze onderzoeken worden na afronding met een kabinetsreactie aan de Tweede Kamer verzonden. Op dit moment worden de volgende IBO’s uitgevoerd:
-
1. Dienst Justitiële Inrichtingen
-
2. Staatsdeelnemingen
-
3. ODA en OESO/DAC-criteria
-
4. Bekostiging funderend onderwijs bij dalende leerlingaantallen
-
5. Inkomens- en vermogenspositie en subsidiëring 65-plussers
-
6. Gehandicaptenzorg
Interdepartementaal Beleidsonderzoek Dienst Justitiële Inrichtingen (DJI)
Onderwerp
In 2010 kwam, door de snelle afname van de capaciteitsbehoefte en de diverse budgetkortingen, de financiële positie van DJI onder druk te staan. Daarop is het Financieel meerjarenplan opgesteld waarmee op termijn (vanaf 2013) perspectief is op positieve resultaten. Dit perspectief is sindsdien wederom onder druk komen te staan door aanvullende exogene taakstellingen en de in beweging blijvende capaciteitsbehoefte.
Het kostenniveau van DJI wordt door drie factoren bepaald: aantallen (productie), kwaliteit (strafmodaliteiten) en bedrijfsvoering (doelmatigheid). De capaciteitsbehoefte kan worden ingevuld met andere strafmodaliteiten dan de modaliteiten die nu zijn opgenomen in de productenmix van DJI. De aantallen zijn voor DJI een onbeïnvloedbaar gegeven. De keuze van de productenmix is een beleidsmatige en vaak ook een politieke keuze. Vervolgens is het de opgave voor DJI om de productenmix tegen zo laag mogelijk kosten te produceren. Het onderzoek richt zich op die opgave.
Opdracht aan de werkgroep
Het IBO heeft als doel varianten in kaart te brengen om tot structureel lagere en flexibelere kosten van de uitvoering van straffen door de DJI te komen, in het licht van huidige en wellicht in de toekomst noodzakelijke besparingen.
De werkgroep zal varianten uitwerken die zich primair richten op de volgende onderwerpen. Van deze varianten worden de effecten geanalyseerd en gekwantificeerd:
-
1. Huisvestingskosten: De bouw-, huur- en beheer- en onderhoudsrelatie tussen DJI en de Rijksgebouwendienst (RGD) wordt bezien op efficiency en doelmatigheid.
-
2. Personeelskosten: De CAO Rijk en de OVA-regelgeving zijn niet primair ontworpen voor DJI. Bezien wordt welke mogelijkheden er zijn om gerichte afspraken te maken t.a.v. DJI-personeel, waarmee de personeelskosten van DJI kunnen worden verlaagd en geflexibiliseerd. Naast de CAO wordt gekeken naar de Overheidsbijdrage in de Arbeidskostenontwikkeling (OVA) omdat een deel van DJI (forensische zorg en jeugd) onder het zogenaamde OVA-convenant valt.
-
3. Eisen voor brandveiligheid: Sinds de Schipholbrand stellen gemeenten strenge en weinig uniforme eisen aan de brandveiligheid. Onderzocht wordt welke mogelijkheden er zijn om deze eisen te uniformeren/versimpelen om de kosten van de DJI te verlagen.
-
4. Huisvestingstrategie: Ten aanzien van huisvestingstrategie worden op dit moment binnen DJI al stappen gezet. Eerste stap in het onderzoek is een inventarisatie en beoordeling van de huidige activiteiten. Het huidige gebouwenbestand wordt bezien op efficiency en doelmatigheid. Daarbij wordt een optimale huisvestingstrategie bezien en een stappenplan om daar uiteindelijk toe te komen.
-
5. De omvang en flexibiliteit van het personeelsbestand: Binnen DJI staat het personeelsbeleid reeds hoog op de agenda. De huidige stand van zaken en voornemens worden als eerste stap van het onderzoek in kaart gebracht. De mogelijkheden tot innovatie en flexibilisering die bij kunnen dragen aan het terugdringen van het (vaste) personeelsvolume worden bezien. Daarbij wordt o.a. gekeken naar mogelijkheden ten aanzien van de inzet van intern/extern personeel en de inzetbaarheid over sectoren en regio’s (geen vaste standplaats).
Organisatie van het onderzoek
De werkgroep bestaat uit vertegenwoordigers van de ministeries van VenJ, BZK, Financiën en AZ, aangevuld met één of twee externe deskundigen. De werkgroep staat onder leiding van een onafhankelijke voorzitter. De voorzitter wordt ondersteund door een secretaris van het ministerie van Financiën en een cosecretaris van het ministerie van VenJ. De werkgroep start in mei 2012 en rondt haar eindrapport uiterlijk februari 2013 af. De omvang van het rapport (exclusief bijlagen) is niet groter dan 30 bladzijden plus een samenvatting van maximaal 5 bladzijden.
Grondslag (Rijksbegroting 2012)
Het budget van de Dienst Justitiële Inrichtingen:
| (x 1 000 Euro) | 2012 | 2013 | 2014 | 2015 | 2016 | |
|---|---|---|---|---|---|---|
| 13.4.1 | Gevangeniswezen regulier | 991 802 | 989 128 | 965 195 | 950 465 | 947 976 |
| 13.4.2 | Forensische zorg | 717 742 | 699 546 | 687 840 | 678 206 | 676 635 |
| 13.7.1 | Vreemdelingenbewaring | 114 523 | 117 054 | 114 417 | 112 746 | 112 470 |
| 13.7.2 | Uitzetcentra | 36 535 | 35 990 | 35 196 | 34 543 | 34 420 |
| 14.2.1 | Jeugd | 272 052 | 272 031 | 270 983 | 266 879 | 266 180 |
| Totaal | 2 132 654 | 2 113 749 | 2 073 631 | 2 042 839 | 2 037 681 |
Interdepartementaal Beleidsonderzoek Staatsdeelnemingen
Aanleiding
Bij staatsdeelnemingen speelt publiek belang en optimaal rendement een rol. Afwegingen lijken echter bemoeilijkt te worden doordat bij staatsdeelnemingen verschillende partijen binnen de rijksdienst zich buigen over beleid, bedrijfs(-economisch) rendement en budgettair belang.
Opdracht aan de werkgroep
Uitgaande van de bestaande rolverdeling (Financiën als aandeelhouder en als budgetbewaker, het beleidsdepartement als verantwoordelijke voor het beleid):
-
1. Hoe kunnen de verschillende rollen (beleid, aandeelhouderschap en budgettair belang) zuiver en doelmatig worden ingevuld?
-
2. Welke varianten zijn er om het publieke, het budgettaire en het bedrijfseconomische belang doelmatig te borgen, dan wel om een transparante, expliciete afweging te kunnen maken tussen deze drie doelen? Welke voor- en nadelen zijn er hierbij?
-
3. Welke spelregels (rendementsbepaling, pay-out ratio, raming dividenden etc.) horen bij deze varianten?
Bij de uitwerking van elk der vragen ware te bezien of en zo ja wat de betekenis is van 100 procent deelnemingen, meerderheidsdeelnemingen en minderheidsdeelnemingen.
Toelichting
De staatsdeelnemingen vervullen belangrijke functies voor de Nederlandse economie, vooral op het terrein van de infrastructuur. Het zijn bedrijven met een goede staat van dienst: zij financieren zich grotendeels zelfstandig op de kapitaalmarkten, zij zijn efficiënt en het kwaliteitsniveau van hun dienstverlening is hoog, ook internationaal vergeleken. Wegens het publieke belang dat zij dienen is er een uitgebreid publiekrechtelijk instrumentarium van wetgeving, regulering, concessie- dan wel vergunningverlening op hen van toepassing. Het zijn echter private rechtspersonen, weliswaar met de staat als aandeelhouder als sluitstuk op de borging van het publiek belang. Het aandeelhouderschap van de staat wordt geregeerd door het ondernemingsrecht: daarin worden aan de staat als aandeelhouder geen extra rechten toegekend boven die van private aandeelhouders. Daardoor is het aandeelhouderschap in beginsel minder geschikt ter borging van het publieke belang. Het aandeelhouderschap is wel geschikt voor de bedrijfseconomische aansturing van de deelnemingen.
Deze complexe structuur, private rechtspersonen ingebed in een publiekrechtelijk raamwerk met de staat als aandeelhouder, vergt in de aansturing van de deelnemingen grote zorgvuldigheid.
Onvoldoende onderscheid tussen publiekrechtelijke en privaatrechtelijke aansturing door de staat en de onderscheiden rollen en processen die daarbij horen, vermindert de consistentie en eenduidigheid van het overheidsoptreden richting de deelnemingen. Een betere afstemming van de publiekrechtelijke en privaatrechtelijke aansturing van staatsdeelnemingen is wenselijk om optimale beleidsuitkomsten en financiële resultaten in de toekomst te verzekeren. De aard van de verschillende aansturingmechanismen dient verhelderd te worden: in welke situatie past welk mechanisme, hoe dienen zij te interacteren en hoe worden zij optimaal ingevuld?
Organisatie van het onderzoek
Het IBO start in 2012. De werkgroep bestaat uit vertegenwoordigers van de ministeries van Financiën (2 leden), AZ, EL&I, I&M, BZK en V&J. Externe deskundigen kunnen aan de werkgroep worden toegevoegd. De werkgroep staat onder leiding van een onafhankelijke voorzitter. De voorzitter wordt ondersteund door een secretaris van het ministerie van Financiën (Fin II) en een cosecretaris van het ministerie van Financiën (Fin I). De omvang van het rapport is niet groter dan 30 bladzijden plus een samenvatting van maximaal 5 bladzijden.
Interdepartementaal Beleidsonderzoek ODA en OESO/DAC-criteria
Onderwerp
Het betreft een verkennend onderzoek naar de definitie en financiering van ontwikkelingsrelevante uitgaven in internationaal (OESO/DAC) verband in het licht van de nieuw uit te werken mondiale ontwikkelingsagenda en de consequenties daarvan voor de ODA definitie. Het onderzoek kan input leveren voor het formuleren van de Nederlandse positie op dit onderwerp. Het gaat daarbij om:
-
1. De afbakening van de definitie van ontwikkelingsrelevante uitgaven;
-
2. De vraag welke uitgaven en financieringsinstrumenten (bijv. leningen, garanties en exportkredietverzekeringen) meetellen.
Opdracht aan de werkgroep
-
1. Het IBO ontwikkelt beleidsopties over de definitie van Officiële Ontwikkelingssamenwerking (ODA), door aan te geven hoe deze definitie gewijzigd kan worden op basis van de veranderde situatie in de wereld en komende mondiale ontwikkelingen, waarbij niet alleen wordt gekeken naar ontwikkeling en welzijnsverbetering, maar ook naar klimaat, veiligheid, financiële stabiliteit en migratie. Ook de afbakening van landen en/of doelgroepen zal daarbij meegenomen worden.
-
2. Het IBO analyseert de voor- en nadelen van de huidige systematiek.
-
3. Het IBO brengt alle Nederlandse ontwikkelingsrelevante bijdragen in kaart. Daarbij wordt een onderscheid gemaakt naar bijdragen die nu al kwalificeren als ODA en bijdragen die dit (nog) niet doen, zoals bijvoorbeeld uitgaven op het terrein van veiligheid, klimaat en migratie en asiel.
-
4. Het IBO geeft weer welke (innovatieve) financieringsinstrumenten er bestaan. Het IBO verkent de wenselijkheid en mogelijkheid om ontwikkelingsrelevante financieringsinstrumenten te erkennen als ODA, met het oog op effectieve ontwikkelingssamenwerking.
-
5. Tot slot brengt het IBO effecten van bovenstaande opties op de doelmatigheid en effectiviteit van ontwikkelingssamenwerking in kaart.
Toelichting
-
• De komende jaren zal een nieuwe mondiale ontwikkelingsagenda uitgewerkt worden, waarbij de aandacht zal uitgaan naar de relatie tussen de huidige Millennium Development Goals (die in 2015 aflopen) en vraagstukken op het terrein van energie, klimaat, veiligheid, financiële stabiliteit en migratie.
-
• De situatie in de wereld is in de afgelopen 50 jaar sterk gewijzigd. Arme mensen wonen niet meer uitsluitend in arme landen en veel problemen die vroeger nationaal of regionaal waren hebben een mondiaal karakter gekregen. Deze gewijzigde context en agenda vragen om een herziening van het huidige ODA-concept en de daarbij horende OESO/DAC-criteria.
-
• Een IBO biedt het kader om de vraag te beantwoorden of Nederland wil inzetten op handhaving van de huidige ODA-definitie of de voorkeur geeft aan een fundamentele wijziging van de huidige ODA-definitie waarbij bv. uitgaven op het terrein van energie, klimaat, veiligheid, financiële stabiliteit en migratie worden meegenomen. Ook de afbakening van landen en/of doelgroepen en kanalen speelt daarbij een rol.
-
• Tot slot wordt gekeken naar de richtlijnen die bepalen welke uitgaven worden meegerekend. Naast activiteiten die voldoen aan de huidige ODA-richtlijnen zijn er nog vele andere – vaak omvangrijke – inspanningen die ontwikkelingsrelevant zijn en bijdragen aan economische ontwikkeling en welzijnsverbetering. Deze vormen van samenwerking passen niet in het bestaande ODA-kader. Enerzijds omdat ze niet gefinancierd worden door overheden, anderzijds omdat het geen transfer van geld betreft naar ontwikkelingslanden of omdat ze een schenkingsdeel hebben van minder dan 25 procent. Ook zijn er bijdragen die wel voldoen aan de drie hierboven genoemde criteria, maar die om allerlei redenen niet als ODA worden erkend, zoals sommige veiligheidsuitgaven, klimaatuitgaven of uitgaven in verband met migratie. De richtlijnen zouden in de toekomst ook nieuwe instrumenten kunnen omvatten, zoals leningen, garanties en exportkredietverzekeringen. Deze instrumenten worden nu niet erkend als ODA-uitgaven, maar worden Other Official Flows (OOF) genoemd.
-
• Door middel van een IBO kan in kaart gebracht worden welke ontwikkelingsrelevante bijdragen Nederland levert, waarbij zowel gekeken wordt naar wat nu kwalificeert als ODA, als naar wat onder ontwikkelingssamenwerking zou kunnen vallen als de criteria veranderen. Kennis van de omvang van de uitgaven maakt het mogelijk om nieuwe internationale criteria, normstelling en richtlijnen ten aanzien van uitgaven en instrumenten te beoordelen en de eventuele financiële gevolgen en de gevolgen voor de effectiviteit van ontwikkelingssamenwerking te appreciëren.
-
• Door middel van dit IBO kan het onderwerp in Nederland (politiek) en internationaal (DAC-leden) geagendeerd worden en kan de discussie over een nieuw ODA-concept in het kader van de post-2015 agenda in diverse internationale fora worden gevoed (2013 MDG Review, 2013 Financing for Development, Global Partnership for Effective Development, EU, G20, diverse OESO/DAC fora).
Organisatie van het onderzoek
De werkgroep bestaat uit vertegenwoordigers van de ministeries van AZ, Financiën (IRF, BFB), Buitenlandse Zaken (FEZ, DGIS), EL&I (IB), BZK/I&A, Defensie en IenM, aangevuld met één of twee externe deskundigen. De werkgroep staat onder leiding van een onafhankelijke voorzitter.
De voorzitter wordt ondersteund door een secretaris van het ministerie van Financiën en een cosecretaris van het ministerie van Buitenlandse Zaken.
De werkgroep start in september 2012 en dient haar eindrapport uiterlijk in juni 2013 in. De omvang van het rapport is niet groter dan 30 bladzijden plus een samenvatting van maximaal 5 bladzijden.
Interdepartementaal Beleidsonderzoek Bekostiging funderend onderwijs bij dalende leerlingaantallen
Onderwerp
De bevolking in Nederland ontgroent. In een aantal regio’s speelt dit sterker dan elders. Van 2000 tot 2010 is het aantal leerlingen in Noordoost-Groningen bijvoorbeeld gedaald met 17 procent, in Zeeuws-Vlaanderen met 13 procent en in Parkstad Limburg met 21 procent. Inmiddels is er al sprake van een landelijke daling van het aantal leerlingen in het basisonderwijs. In de komende jaren zet die daling fors door. Er zijn verspreid over het land bijna 70 gemeenten met meer dan 30 procent daling van het aantal leerlingen in het primair onderwijs tot en met 2020, tegenover een landelijke daling met 6,5 procent over deze periode. In het voortgezet onderwijs komt de daling uiteraard later, maar is deze al begonnen in de krimpregio’s. De landelijke daling in het voortgezet onderwijs is 20 000 leerlingen (2,5 procent) tot en met 2020 en ca. 50 000 leerlingen (6,25 procent) tot en met 2028.
Het huidige stelsel van het primair onderwijs voorziet in een fijnmazig netwerk van scholen, zowel in geografische zin als in termen van denominatie. Daartoe is er een complex regelkader dat voorziet in doelmatigheid waar dat kan en in erg kleine scholen waar weinig leerlingen zijn. In 2006 had 30 procent van de scholen minder dan 145 leerlingen. Bij ongewijzigd beleid stijgt het aantal scholen met minder dan 145 leerlingen tot en met 2020 naar 40 procent. Uit ervaringsgegevens blijkt dat een school tenminste 145 leerlingen nodig heeft om op lange termijn bedrijfsmatig goed te kunnen functioneren met de normale bekostiging per leerling12. Zo zijn de kosten van vier scholen met elk 50 leerlingen jaarlijks vier ton hoger dan de kosten van één school met 200 leerlingen. Daarom krijgen scholen met minder dan 145 leerlingen momenteel een toeslag die toeneemt naarmate het aantal leerlingen verder daalt. Gevolg hiervan is dat als kleine scholen fuseren, de bekostiging per leerling daalt.
De kwaliteit van deze kleine scholen is kwetsbaar, zoals blijkt uit rapporten van de Inspectie van het Onderwijs (De staat van het onderwijs, onderwijsverslag 2009/2010). Schoolbesturen kunnen prima de kwaliteit overeind houden als zij slechts enkele kleine scholen hebben, maar als bijna alle scholen onder een schoolbestuur klein zijn, ontstaan er problemen. Het schoolteam bestaat dan slechts uit enkele personen, waardoor het moeilijker is elkaar te ondersteunen en specialisaties te ontwikkelen. De kwaliteit komt ook onder druk door de noodzaak combinatieklassen in te richten. Combinatieklassen vragen specifieke vaardigheden waar niet alle leraren in voldoende mate over beschikken. Veel leraren willen mede daardoor liever niet op kleine scholen werken, wat het werven van leerkrachten voor deze scholen bemoeilijkt.
In het voortgezet onderwijs uit de trend van dalende leerlingaantallen zich ook op een andere manier. Het voortgezet onderwijs heeft al een regionale functie, maar bij een dalend leerlingaantal per school wordt het lastiger om een gediversifieerd opleidingenaanbod aan te bieden (in termen van niveaus en profielen).
Er ligt een grote rol om de uitdagingen van een dalend leerlingaantal op te pakken bij schoolbesturen en bij gemeentebesturen. Een dalend leerlingaantal vraagt om samenwerking en om keuzes, soms ook over denominatieve en gemeentegrenzen heen.
Onderwerp van onderzoek
Onderwerp van het onderzoek zijn
-
a) de elementen in de bekostigingsystematiek van het primair en voortgezet onderwijs in relatie tot dalende leerlingenaantallen en de effecten daarvan op het primair en voortgezet onderwijs en
-
b) de elementen in het onderwijsstelsel die fusies of fusieprocessen van kleine scholen belemmeren of het ontstaan en voortbestaan bevorderen van kleine scholen (bijv. aspecten van de fusietoets, denominatie, invulling van artikel 23 van de Grondwet, stichting- en opheffingsnormen, regelgeving rond onderwijshuisvesting, recht om aanmeldingen van leerlingen af te wijzen), of het ontstaan en voortbestaan bevorderen van een te divers opleidingaanbod gegeven het leerlingaantal. Het onderzoek geeft hiervan een overzicht.
Opdracht aan de werkgroep
Doel van het onderzoek is te komen tot een aantal beleidsvarianten waarmee de kwaliteit en de doelmatigheid van het funderend onderwijs in gebieden met een dalend leerlingaantal geborgd blijft en waar mogelijk vergroot wordt. De beleidsvarianten worden zoveel mogelijk gekwantificeerd. De beleidsvarianten kunnen budgetneutraal zijn of tot besparingen leiden. Oplossingsrichtingen die de beleidsvarianten kunnen verkennen, zijn onder andere:
-
1. Aanpassingen in de bekostigingssystematiek en de regelgeving die leiden tot een doelmatige borging van de kwaliteit, de toegankelijkheid en de diversiteit van het onderwijsaanbod bij dalende leerlingaantallen.
-
2. Aanpassingen die weliswaar leiden tot een grotere reisafstand voor leerlingen, maar die de toegankelijkheid van het onderwijs zo min mogelijk beperken.
-
3. Aanpassingen in de fusietoets. Het onderzoek zal nagaan of de fusietoets inderdaad een belemmering vormt voor doelmatiger en kwalitatief betere scholen, en zo ja hoe dit kan worden ondervangen.
-
4. Aanpassingen in de regelgeving rond het opleidingsaanbod in het voortgezet onderwijs.
-
5. Aanpassingen in de stichting- en opheffingsnormen en -regelgeving.
Ook wordt de werkgroep gevraagd te verkennen of en hoe vanuit het Rijk bevorderd moet worden dat op lokaal niveau schoolbesturen en gemeentebesturen de regierol pakken om adequaat en tijdig in te spelen op de trend van dalende leerlingaantallen.
De werkgroep wordt gevraagd inzicht te geven in de dilemma’s die aan onderwijsbeleidskeuzes in tijden van dalende leerlingaantallen ten grondslag kunnen liggen. Een voorbeeld van zo’n dilemma is het dilemma tussen aan de ene kant minimale schaal en onderwijskwaliteit, en aan de andere kant de vrijheid van onderwijs die artikel 23 van de Grondwet biedt. Een ander voorbeeld is het dilemma tussen onderwijskwaliteit en toegankelijkheid/reisafstand.
Organisatie van het onderzoek
De werkgroep bestaat uit vertegenwoordigers van de ministeries van OCW, EL&I, AZ, BZK en Financiën. De werkgroep staat onder leiding van een onafhankelijke voorzitter. De voorzitter wordt ondersteund door een secretaris van het ministerie van Financiën en een cosecretaris van het ministerie van OCW. Er kunnen externe deskundigen aan de werkgroep deelnemen. Daarnaast kan gebruik gemaakt worden van de themagroep Onderwijs van het Nationaal Netwerk Bevolkingsdaling. De werkgroep start voor de zomer van 2012 en dient haar rapport uiterlijk op 1 februari 2013 af te ronden. De omvang van het rapport is niet groter dan 30 bladzijden plus een samenvatting van maximaal 5 bladzijden.
Interdepartementaal Beleidsonderzoek Inkomens- en vermogenspositie en subsidiëring 65-plussers13
Onderwerp
In dit onderzoek worden de historische, huidige en toekomstige ontwikkelingen van de inkomens- en vermogensposities van 65-plussers geanalyseerd. Daarnaast worden de instrumenten (deels) gefinancierd met collectieve middelen om 65-plussers financieel te ondersteunen in kaart gebracht en beoordeeld. Tot slot worden beleidsvarianten uitgewerkt die tot verbetering van de doelmatigheid en transparantie van het instrumentarium leidt.
Opdracht aan de werkgroep
-
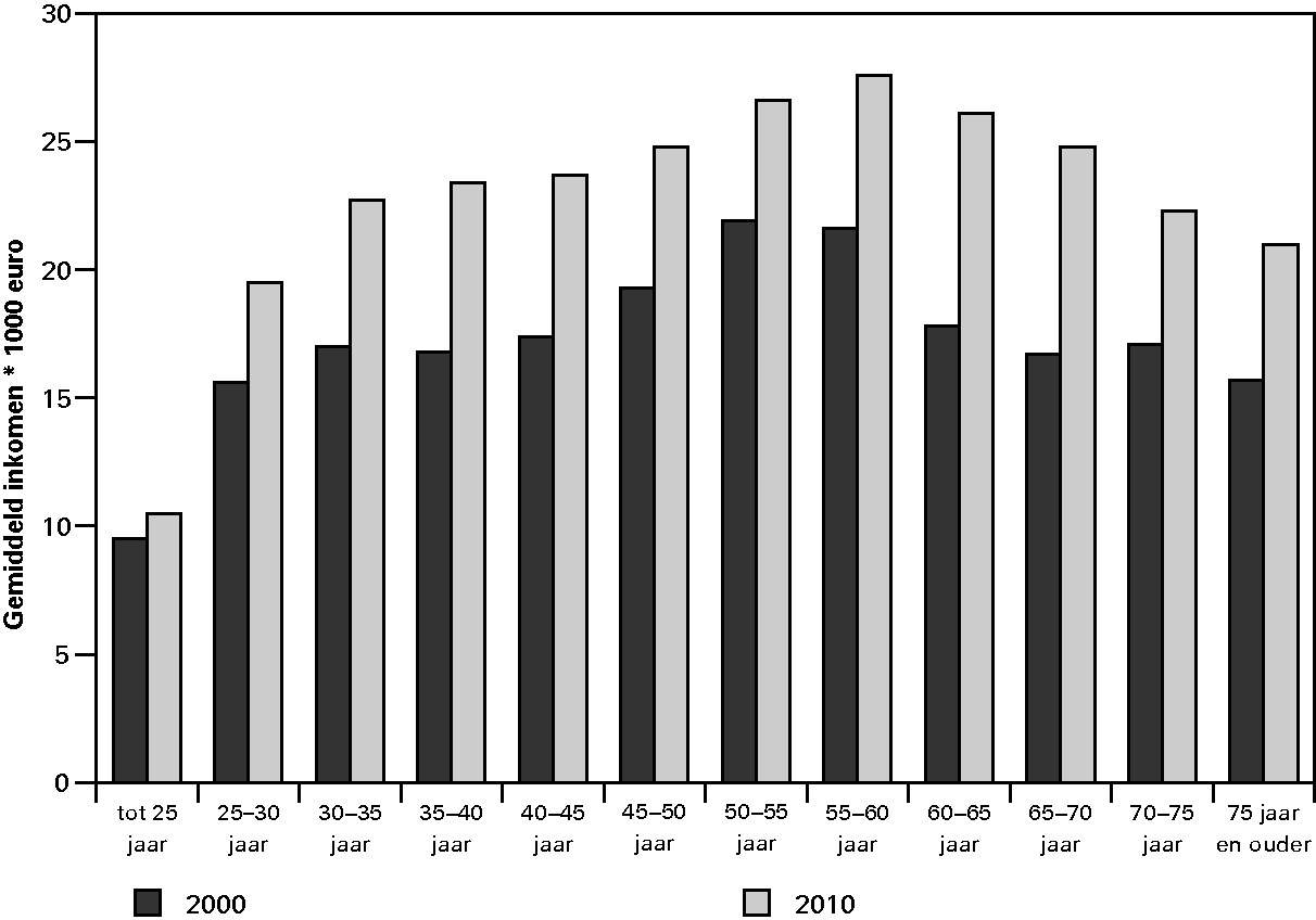
• Probleemstelling. De inkomens-en vermogensposities van pensioengerechtigden zijn de laatste decennia sterk verbeterd (zie figuur 1). Dit proces zal zich naar verwachting de komende jaren voort kunnen zetten. Anderzijds leidt de vergrijzing tot oplopende kosten voor met name de zorg en de sociale zekerheid. Er bestaat een groot aantal instrumenten die (onder meer) gericht zijn op de inkomensondersteuning van 65-plussers. De oorspronkelijke motieven van die instrumenten zijn mogelijk niet meer actueel, of kunnen op een efficiëntere alternatieve manier bereikt worden. Bij de beoordeling van de doelmatigheid worden de uitvoeringskosten betrokken. Dit IBO streeft ernaar om een dergelijke inventarisatie, beoordeling en beleidsopties beschikbaar te maken voor publieke discussie.
-
• Doelstelling:
-
○ In kaart brengen en beoordelen van de ontwikkeling van inkomens- en vermogensposities van 65-plussers en van de collectief gefinancierde instrumenten om deze groep te ondersteunen;
-
○ Formuleren van beleidsvarianten om de efficiëntie en transparantie van het instrumentarium te verhogen.
-
-
• Stap 1: In de analyse van het inkomen worden de volgende bestanddelen onder meer betrokken: arbeidsinkomen; vermogensinkomen; inkomen uit onderneming; aanvullende pensioenen; fiscale voordelen; uitkeringen; inkomensoverdrachten; belastingen en premies. In de analyse van het vermogen wordt zowel het totale vermogen als het vermogen exclusief eigen woning betrokken. Verder wordt de spreiding binnen de verschillende cohorten 65-plussers betrokken, alsmede een vergelijking met de posities van andere leeftijdscohorten (inclusief het cohort vlak voor het pensioen), en wordt een internationale vergelijking gemaakt. Bezien wordt of het mogelijk en wenselijk is om uitgavenpatronen in de analyse te betrekken.
-
• Stap 2: In de inventarisatie van de instrumenten worden alle (deels) collectief gefinancierde instrumenten ten behoeve van 65-plussers meegenomen, en kunnen ze ook zien op een deel van de doelgroep van 65-plussers. Onder meer worden de doelgroepen, kosten en motieven van de instrumenten geïnventariseerd. De identificatie van alle betrokken instrumenten en de precisering van de grondslag zal in het onderzoek worden vastgesteld, maar betreffen in ieder geval:
-
○ De AOW (niet ten principale, maar wel voor wat betreft maatvoering);
-
○ Fiscale instrumenten zoals lagere belastingtarieven, box 3 voordelen, de aftrek specifieke zorgkosten en heffingskortingen voor 65-plussers;
-
○ Uitgavenregelingen, zoals de Mogelijkheid Koopkrachttegemoetkoming Oudere Belastingplichtigen (MKOB), het onderscheid in de huurtoeslag tussen 65-min en 65-plus en specifieke uitzonderingen en kortingen bij de eigen bijdrage AWBZ, die gelden voor bepaalde groepen waaronder ouderen; dit geldt ook voor de corresponderende eigen bijdragen Wmo, gegeven de beleidsvrijheid van gemeenten op dat punt;
-
-
• Stap 3: Vervolgens wordt de actualiteit van de oorspronkelijke motieven, de effectiviteit en de doelmatigheid van de instrumenten beoordeeld, mede in het licht van de veranderende inkomens- en vermogensposities. Hierbij wordt een vergelijking met de ondersteuning van het leeftijdscohort die vlak voor de pensioengerechtigde leeftijd zit, gemaakt.
-
• Stap 4: Aansluitend bij de beoordeling in stap 3 worden tot slot beleidsvarianten uitgewerkt die tot verbetering van de doelmatigheid, effectiviteit en transparantie van het instrumentarium leiden. Naast budgetneutrale varianten kunnen varianten ook tot besparingen leiden, waarbij speciale aandacht uitgaat naar extra financieringsbronnen van regelingen waarvan de kosten oplopen door de vergrijzing.
Organisatie van het onderzoek
De werkgroep bestaat uit vertegenwoordigers van de ministeries van SZW, VWS, BZK, EL&I, AZ en Financiën en externe deskundigen van het CPB, CBS en SCP. De werkgroep staat onder leiding van een onafhankelijke voorzitter. De voorzitter wordt ondersteund door een secretaris van het ministerie van Financiën en een cosecretaris van het ministerie van SZW.
De werkgroep dient haar eindrapport uiterlijk voor het zomerreces 2013 af te ronden, waarbij de werkgroep voor het zomerreces 2012 bijeen zal komen en de opdracht aan het CPB (en SCP) zal vaststellen. De omvang van het rapport is niet groter dan 30 bladzijden plus een samenvatting van maximaal 5 bladzijden. Het CPB zal gevraagd worden, in samenwerking met het SCP, Financiën en SZW, een modelmatig onderbouwde prognose te geven van de inkomens-en vermogensposities van 65-plussers, inclusief een historische en actuele analyse. Het CPB kan deze analyse ook zelfstandig publiceren, bij voorkeur na afronding van het IBO-rapport.
Figuur 1 Gestandaardiseerd besteedbaar inkomen naar leeftijd hoofdkostwinner (CBS Statline)

Interdepartementaal Beleidsonderzoek Gehandicaptenzorg
De ongeveer 150 000 cliënten (stand 2010) in de gehandicaptenzorg maken gebruik van een uitgebreid zorgaanbod. Deze zorg is gericht op verstandelijke, lichamelijke en zintuiglijke beperkingen en kan ingedeeld worden naar de segmenten dagbesteding, intramurale en extramurale zorg en ondersteuning. Mensen met een beperking zijn vaak levenslang en levensbreed aangewezen op zorg en ondersteuning. Het zorgaanbod wordt geleverd door een groot aantal zorgaanbieders met in totaal circa 150 000 medewerkers (2010). Mensen met een indicatie voor gehandicaptenzorg krijgen vanuit de AWBZ en/of de Wmo naturazorg of een persoonsgebonden budget (pgb).
De uitgaven vanuit de AWBZ bedragen 6,5 miljard euro (voorlopige realisatie 2010, exclusief pgb) en zijn in de periode 1998–2010 jaarlijks gestegen met gemiddeld 8,6 procent. Dit terwijl de demografische component maar 0,5 procent per jaar bedraagt. Ook andere departementen hebben regelingen voor mensen met een beperking zoals de «rugzakjes» in het (speciaal) onderwijs, de Wajong en de TOG regeling. Een samenhangend beeld van deze regelingen en het financiële beslag daarvan ontbreekt.
Opdracht aan de werkgroep
Het IBO analyseert de uitgavenontwikkeling in de gehandicaptenzorg (in de langdurige zorg, via zorg in natura en het pgb) en van andere op mensen met een beperking gerichte regelingen, brengt de oorzaken in kaart en geeft aan waaraan de middelen worden besteed. Hierbij wordt een analyse gemaakt van de (ontwikkelingen op het gebied van) kwaliteit en toegankelijkheid van de gehandicaptenzorg. Doel van het onderzoek is te komen tot een aantal beleidsvarianten waarmee de doelmatigheid en de budgettaire beheersbaarheid op langere termijn van de gehandicaptenzorg vergroot wordt.
Concreet is de opdracht aan de werkgroep als volgt:
-
• Beleidsvarianten te ontwikkelen die structureel besparen op de uitgaven op dit thema, waarbij tenminste één variant (al dan niet bestaande uit verschillende subvarianten) een aanzienlijke structurele besparing van de totale netto uitgaven in de langdurige zorg oplevert.
-
• Gezien de reële groei van de uitgaven voor de gehandicaptenzorg, dient de werkgroep ook één of meerdere beleidsvarianten in beeld brengen die gericht zijn op het structureel beperken van de reële groei, zodanig dat deze groei op langere termijn niet hoger is dan de structurele reële bbp groei.
-
• De beleidsvarianten geven weer: de maatschappelijke voor- en nadelen (op de kwaliteit en toegankelijkheid van de zorg), de budgettaire effecten (in het jaar waarop een maatregel kan ingaan en structureel), de ingeschatte effecten op de langere termijn niet-demografische volumegroei van de uitgaven, en de uitvoeringsaspecten van de variant.
Het onderzoek moet ingaan op de volgende punten:
-
• Een internationale vergelijking cq. verschillenanalyse: hoe verhoudt (de ontwikkeling in) de Nederlandse gehandicaptenzorg zich tot die in het buitenland?
-
• Het scherper in beeld brengen van de ontwikkeling van de gehandicaptenzorg: welke regelingen gericht op gehandicapten zijn er in de langdurige zorg en breder, wat is het budgettair beslag, wat is er gebeurd, welke onderdelen zijn vooral gegroeid en uit welke componenten is de groei opgebouwd?
-
• Het in beeld brengen van waar het extra geld van de afgelopen jaren aan is besteed zoals groei aantal cliënten, groei zorg per cliënt, loonkosten, kwaliteit, bouw en andere infrastructurele voorzieningen, overhead.
-
• De (mogelijke) meeropbrengsten van deze investeringen verhelderen, zowel voor de doelgroep als voor de samenleving als geheel, bijvoorbeeld in termen van wachtlijstreductie.
-
• Het onderzoeken van mogelijke oorzaken van deze groei: demografie (groei populatie), verschil jeugd en volwassenen, prijzen ZZP’s, upcoding, indicatiestelling, latente vraag, arbeidsproductiviteit, eisen samenleving, mondiger vragers, begeleidingsmaatregelen, de institutionele vormgeving (checks and balances), het gevoerde beleid, ontwikkeling van de prijs en inhoud van de (ZZP-pakketten), kwaliteitsverbeteringen, beleidseffecten van aanpalende sectoren (met name onderwijs en sociale zekerheid). De wachtlijstproblematiek van begin deze eeuw en de effecten van het «boter bij de vis»-beleid dienen hierbij te worden betrokken.
-
• Een kwalitatieve bespreking van de maatschappelijke kosten en baten van de beleidsvarianten en een berekening van de budgettaire effecten van de beleidsvariant. Hierbij worden onder andere elementen zoals kwaliteit en toegankelijkheid van de zorgverlening maar ook de sociale en ethische kanten meegenomen. Ook wordt aandacht besteed aan de gevolgen van de varianten voor andere regelingen voor gehandicapten, zoals de Wajong, de TOG en «de rugzakjes» in het speciaal onderwijs.
Het onderzoek resulteert onder meer in beleidsvarianten, bijvoorbeeld: in beeld brengen van internationale best practices, bepalen van effecten van het normeren van prijzen, gevolgen van het aanscherpen van indicatiecriteria, effect van geconcentreerde inkoop voor specifieke doelgroepen, verbeteren van de doelmatigheid van instellingen (en hoe bewerkstellig je dat). Het onderzoek dient de bevindingen en aanbevelingen van de Taskforce beheersing zorguitgaven te benutten en waar nodig verder uit te werken.
Samenstelling werkgroep
Leden van de werkgroep zijn: VWS, AZ, Financiën, BZK, SZW, OCW. Indien nodig worden er externe deskundigen aan de werkgroep toegevoegd zoals het SCP. De werkgroep staat onder leiding van een onafhankelijke voorzitter, deze wordt ondersteund door een gezamenlijk secretariaat vanuit Financiën en VWS .
Het secretariaat start zijn voorbereidende werkzaamheden vanaf juni/juli 2012. De werkgroep start formeel in september 2012 en rondt haar eindrapport uiterlijk 1 maart 2013 af. De omvang van het rapport is niet groter dan 30 bladzijden plus een samenvatting van maximaal 5 bladzijden.